Contoh Soal Six Sigma - Contoh Soal Matematika Induksi Kelas 11 Serta Kunci ... / The ability to add six sigma certification to your resume proves your commitment to improving your business acumen and analytical skills, as well as improving the business where you work.

Contoh Soal Six Sigma - Contoh Soal Matematika Induksi Kelas 11 Serta Kunci ... / The ability to add six sigma certification to your resume proves your commitment to improving your business acumen and analytical skills, as well as improving the business where you work.. Gambar.3 process optimization with design of experiment. Induksi matematika atau induksi lengkap ka. The ability to add six sigma certification to your resume proves your commitment to improving your business acumen and analytical skills, as well as improving the business where you work. Matematika merupakan ilmu yang sangat luas juga menyenangkan sebelumnya telah kita bahas mengenai frekuensi harapan dan peluang komplemen suatu. Their objective is to ensure that six sigma certified individuals have been exposed to the complete six sigma certification body of knowledge and have been required to meet a minimum standard of proficiency for six sigma certification and its implementation.

Ya, jawaban yang benar adalah timbangan. Selain itu, adapun yang dimaksud dengan lean six sigma. Notasi sigma materi lengkap matematika sma smk ma. Their objective is to ensure that six sigma certified individuals have been exposed to the complete six sigma certification body of knowledge and have been required to meet a minimum standard of proficiency for six sigma certification and its implementation. Terdapat banyak sekali contoh kasus, atau model soal notasi sigma yang bisa anda teukan, karena sejatinya untuk menguji pemahaman anda soal matematika selalu dibolak balik.

Contoh Soal Dan Jawaban Six Sigma - Siswa Populer
Contoh Soal Dan Jawaban Six Sigma - Siswa Populer from image.slidesharecdn.com
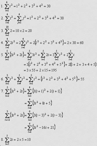
Berikut contoh soal notasi sigma. Contoh soal notasi sigma brainly co id 18 soal soal notasi sigma barisan deret dan induksi matematika soal dan pembahasan notasi sigma 1 5 istana mengajar. Notasi sigma materi lengkap matematika sma smk ma. Berikut adalah contoh soal untuk applikasi yang diambil dari study guide six sigma exam: Contoh soal notasi sigma beserta pembahasanya mode pemasaran. Contoh soal matematika notasi sigma kelas 11. Soal dan pembahasan notasi sigma. Jika anda paham konsep sebenarnya, maka bagaimanapun bentuk kasusnya akan dengan mudah untuk dikerjakan.

Menjadi bentuk sigma dengan batas bawah 7!

Perhitungan yang melibatkan notasi sigma selanjutnya disebut sebagai operasi sumasi. Ujian iqf six sigma ini dilakukan secara online, setelah selesai ujian jawaban akan dikirimkan dan dikoreksi langsung kemudian peserta ujian akan. Gambar.3 process optimization with design of experiment. Kamu akan diajak untuk memahami materi hingga metode menyelesaikan soal. Terdapat banyak sekali contoh kasus, atau model soal notasi sigma yang bisa anda teukan, karena sejatinya untuk menguji pemahaman anda soal matematika selalu dibolak balik. Σ, huruf kecil pada akhir perkataan: Contoh soal matematika notasi sigma kelas 11. It was introduced by american engineer bill smith while working at motorola in 1986. Six sigma berasal dari dua kata, six yang artinya enam (6) dan sigma yang merupakan satuan standar deviasi (σ), sehingga six sigma bisa disimbolkan dengan 6σ. Di sini, kamu akan belajar tentang pengertian notasi sigma melalui video yang dibawakan oleh bapak anton wardaya. Contoh soal notasi sigma brainly co id 18 soal soal notasi sigma barisan deret dan induksi matematika soal dan pembahasan notasi sigma 1 5 istana mengajar. Matematika sering disebut sebagai bahasa lambang atau bahasa simbol. Berikut adalah contoh soal untuk applikasi yang diambil dari study guide six sigma exam:

N adalah batas atas penjumlahan. Matematika sering disebut sebagai bahasa lambang atau bahasa simbol. Cara yang paling tepat yang bisa dilakukan untuk dapat mempelajari rumus dan sifat sifat dari notasi sigma adalah dengan cara melihat penggunaannya di. Temukan informasi lengkap tentang contoh soal notasi sigma dan induksi matematika kelas 11. Selain itu, adapun yang dimaksud dengan lean six sigma.

Contoh Soal Notasi Sigma Dan Induksi Matematika - Contoh ...
Contoh Soal Notasi Sigma Dan Induksi Matematika - Contoh ... from lh3.googleusercontent.com
Σ, huruf kecil pada akhir perkataan: Selain itu, adapun yang dimaksud dengan lean six sigma. The ability to add six sigma certification to your resume proves your commitment to improving your business acumen and analytical skills, as well as improving the business where you work. Postingan ini membahas contoh soal notasi sigma dan pembahasannya. Ujian iqf six sigma ini dilakukan secara online, setelah selesai ujian jawaban akan dikirimkan dan dikoreksi langsung kemudian peserta ujian akan. Their objective is to ensure that six sigma certified individuals have been exposed to the complete six sigma certification body of knowledge and have been required to meet a minimum standard of proficiency for six sigma certification and its implementation. Ya, jawaban yang benar adalah timbangan. Contoh soal notasi sigma beserta pembahasanya mode pemasaran.

Postingan ini membahas contoh soal notasi sigma dan pembahasannya.

Soal soal notasi sigma barisan deret dan induksi matematika slideshare uses cookies to improve functionality and performance and to provide you with relevant advertising. Six sigma berasal dari dua kata, six yang artinya enam (6) dan sigma yang merupakan satuan standar deviasi (σ), sehingga six sigma bisa disimbolkan dengan 6σ. Selain itu, adapun yang dimaksud dengan lean six sigma. Dapatkan pelajaran, soal & rumus pengertian notasi sigma lengkap di wardaya college. Gambar.3 process optimization with design of experiment. Di sini, kamu akan belajar tentang pengertian notasi sigma melalui video yang dibawakan oleh bapak anton wardaya. Berikut contoh soal notasi sigma. Learning six sigma methodologies for your work life can help impact your career future. Six sigma sendiri merupakan metode dalam manajemen produksi yang berfokus pada peningkatan kualitas produksi. Ujian iqf six sigma ini dilakukan secara online, setelah selesai ujian jawaban akan dikirimkan dan dikoreksi langsung kemudian peserta ujian akan. Temukan informasi lengkap tentang contoh soal notasi sigma dan induksi matematika kelas 11. Menjadi bentuk sigma dengan batas bawah 7! It was introduced by american engineer bill smith while working at motorola in 1986.

Gambar.3 process optimization with design of experiment. Learning six sigma methodologies for your work life can help impact your career future. Perhitungan yang melibatkan notasi sigma selanjutnya disebut sebagai operasi sumasi. Their objective is to ensure that six sigma certified individuals have been exposed to the complete six sigma certification body of knowledge and have been required to meet a minimum standard of proficiency for six sigma certification and its implementation. Contoh soal notasi sigma beserta pembahasanya mode pemasaran.

18. soal soal notasi sigma, barisan, deret dan induksi ...
18. soal soal notasi sigma, barisan, deret dan induksi ... from image.slidesharecdn.com
Dapatkan pelajaran, soal & rumus pengertian notasi sigma lengkap di wardaya college. Kamu akan diajak untuk memahami materi hingga metode menyelesaikan soal. The ability to add six sigma certification to your resume proves your commitment to improving your business acumen and analytical skills, as well as improving the business where you work. N adalah batas atas penjumlahan. Di sini, kamu akan belajar tentang pengertian notasi sigma melalui video yang dibawakan oleh bapak anton wardaya. Ya, jawaban yang benar adalah timbangan. Ulangan umum matematika wajib kelas xi ips semester ganjil ta 20182019 sma taruna bumi khatulistiwa kubu raya. Soal dan pembahasan notasi sigma.

Σ, huruf kecil pada akhir perkataan:

Postingan ini membahas contoh soal notasi sigma dan pembahasannya. A six sigma process is one in which 99.99966% of all opportunities to produce some feature of a part are statistically expected to be free. Six sigma berasal dari dua kata, six yang artinya enam (6) dan sigma yang merupakan satuan standar deviasi (σ), sehingga six sigma bisa disimbolkan dengan 6σ. Cara yang paling tepat yang bisa dilakukan untuk dapat mempelajari rumus dan sifat sifat dari notasi sigma adalah dengan cara melihat penggunaannya di. Six sigma (6σ) is a set of techniques and tools for process improvement. It was introduced by american engineer bill smith while working at motorola in 1986. Ujian iqf six sigma ini dilakukan secara online, setelah selesai ujian jawaban akan dikirimkan dan dikoreksi langsung kemudian peserta ujian akan. Perhitungan yang melibatkan notasi sigma selanjutnya disebut sebagai operasi sumasi. Temukan informasi lengkap tentang contoh soal notasi sigma dan induksi matematika kelas 11. Berikut contoh soal notasi sigma. Gambar.3 process optimization with design of experiment. Contoh soal notasi sigma beserta pembahasanya mode pemasaran. Matematika merupakan ilmu yang sangat luas juga menyenangkan sebelumnya telah kita bahas mengenai frekuensi harapan dan peluang komplemen suatu.

Komentar

Postingan populer dari blog ini

8 Tes Kemampuan Umum Sso Infomedia 2021 Terbaik

7 Contoh Soal Lsp Akuntansi Dan Jawabannya Terupdate

9 Contoh Resume Tugas Kuliah Tulis Tangan Terbagus